콘텐츠 본문
논문
해외
국제전문학술지(SCI급)
Journal of the Korean Ceramic Society
Ionic conductivity and microstructural characteristics of NASICON‑type solid electrolyte Li1.3Al0.3Ti1.7(PO4)3 afected by synthesis and manufacturing processes for all solid‑state battery
- 2024-07
- Chan Gyu Kim, Yu Taek Hong, Ji Min Im, Ki Sang Baek, Yu Ri Lim, Hwa‑Jung Kim, Hyeokjun Park, Seung‑Wook Baek, Jung Hyun Kim
논문
해외
국제전문학술지(SCI급)
Journal of the American Ceramic Society
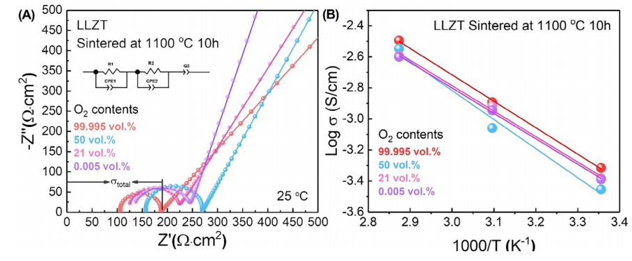
Enhanced densification of garnet-type solid electrolytes under oxygen-enriched sintering atmosphere
- 2025-01
- Hwa-Jung Kim, Hyeokjun Park, Jung Hyun Kim, Sun Hwa Park, Hosun Shin, Seokhee Lee Seung-Wook Baek
논문
해외
국제전문학술지(SCI급)
Journal of the Korean Ceramic Society
Effect of particle sizes on the electrical conductivity characteristics of La0.8Sr0.2MnO3‑δ (LSM) cathodes for solid oxide fuel cell (SOFC)
- 2025-03
- Jeong Yun Park, Ji Min Im, Bohyun Ryu, Seung‑Wook Baek, Jung Hyun Kim
논문
해외
국제전문학술지(SCI급)
Journal of Alloys and Compounds
Interfacial stability of gas-controlled LCO:Ta-LLZO cathodes composite for all-solid-state batteries
- 2025-05
- Hwa-Jung Kim, Hosun Shin, Jung Hyun Kim, Seung-Wook Baek
논문
해외
국제전문학술지(SCI급)
Journal of Power Sources
Metal Co exsolution for catalyst design and electrochemical enhancement of non-stoichiometric solid oxide fuel cell cathodes
- 2025-08
- Jeong Yun Park, Yu Taek Hong, Yu Ri Lim , Abul K. Azad, Bohyun Ryu, Jung Hyun Kim
논문
해외
국제전문학술지(SCI급)
Journal of the Korean Ceramic Society
Electrical conductivity and electrochemical characteristics of layered perovskite cathodes with Co and Fe substitution
- 2025-09
- Yu Taek Hong, Jeong Yun Park, Yu Ri Lim, Jin Woo Cha, Chae Eun Kim, Jun Woong Kim, Abul K. Azad, Seung‑Wook Baek, Jung Hyun Kim
논문
국내
국제전문학술지(SCI급)
Journal of the Korean Ceramic Society
Functional analysis of electrode and small stack operation in solid oxide fuel cell
- 2006
- Joongmyeon Bae, Ki Hyun Kim, Hyunjin Ji, Jung Hyun Kim, In Yong Kang, Sungkwang Lim and Young-Sung Yoo
논문
국내
국제전문학술지(SCI급)
The Korean Society For New and Renewable EnergyAnnual Fall Meeting
Studied of Co-Fe based perovskite cathodes with fixed A-site cations
- 2006
- Kwangjin Park, Jung Hyun Kim and Joongmyeon Bae
논문
국내
국제전문학술지(SCI급)
The Korean Society For New and Renewable Energy-Annual Spring Meeting
Cathode properties of Sm-Sr-(Co,Fe,Ni)-O system with Perovskite and Spinel structure for Solid Oxide Fuel Cell
- 2007
- Seung-Wook Baek, Jung Hyun Kim, Seungwhan Baek and Joongmyeon Bae
논문
국내
국제전문학술지(SCI급)
The Korean Society For New and Renewable Energy-Annual Spring Meeting
Surface analysis of (P1-xSrxCoO3 (x=0.5 and 0.7) as a cathode material for Solid Oxide Fuel Cell
- 2007
- Jung Hyun Kim, Changbo Lee, Seung-Wook Baek , Kwangjin Park and Joongmyeon Bae

