콘텐츠 본문
논문 해외 국제전문학술지(SCI급) A gel polymer electrolyte based on initiator-free photopolymerization for lithium secondary batteries
- 학술지 구분 국제전문학술지(SCI급)
- 게재년월 2012-01
- 저자명 Myung-Hyun Ryou, Yong Min Lee, Kuk Young Cho, Gi-Beom Han, Je-Nam Lee, Dong Jin Lee, Jang Wook Choi, Jung-Ki Park
- 학술지명 Electrochimica Acta
- 발행처명 Pergamon
- 발행국가 해외
- 논문언어 외국어
- 전체저자수 8
- 논문 다운로드 링크(외부) https://doi.org/10.1016/j.electacta.2011.10.072
- 연구분야 공학 > 화학공학
논문 초록 (Abstract)
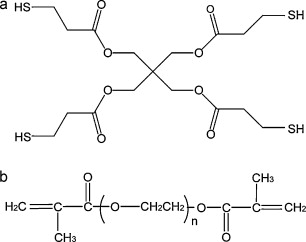
Highly ion-conductive gel polymer electrolyte (GPE) with mechanical flexibility is developed by incorporating liquid electrolyte into polymer films that are fabricated by initiator-free photopolymerization of poly(ethylene glycol) dimethacrylate (acrylate monomer) and pentaerythritol tetrakis (3-mercaptopropionate) (thiol monomer) blend. When UV is irradiated on the blend, the thiol monomers themselves produce radicals to initiate the polymerization. GPEs with 40–50 wt.% of thiol monomer content show mechanically free standing characteristics with sufficient flexibility. The ionic conductivity of the GPE reaches1.1 × 10−3 S cm−1 at 25 °C and is thus high enough to be applied for lithium secondary batteries. The GPE is electrochemically stable up to 4.4 V versus Li/Li+ and the unit cells consisting of LiCoO2/GPE/lithium metal show good cycling performance. This GPE is thus considered a good electrolyte candidate for future flexible and wearable lithium secondary batteries.

